On The Probability Of Large Rocks From Space!
Most heard the news there is a 2.4% chance a giant rock from space bringing something like an 8 Megaton blast might whack us in 2032. But I was interested not just in this newsworthy bolide, but all such space rocks. I used NASA’s data to calculate the (conditional: all probability is conditional) probability of impact of any tracked rock per year, and then the cumulative probability of any impact by year. Skip right to PROBABILITIES below if you don’t want the background.
If you enjoy this, please spread the love and share with both friends and enemies. Or Subscribe.
Boom
NASA’s Center for Near Earth Object Studies says there’s a 2.4% chance a large rock from space will smack into us on 22 December 2032, about two in the afternoon Greenwich time. The impact energy, if it hits, would be about 7.7 megatons (Mt) of TNT.
This makes it a tad smaller than the B53 nuke, one of our larger bombs, which has a claimed energy of 9 Mt. The largest nuke, they say, is Tsar Bomba, which is reputed to be about 50 Mt.
The 1908 Tunguska event, caused by a large rock from space, has estimates from 3 to 50 Mt impact energy. This puts the 2032 potenital event, from a rock casually named “2024 YR4”, in the same ballpark. The Tunguska rock landed where the population was sparse. The new rock could hit where it is not; in, maybe, India.
It’s not only the crushing impact that causes damage. There is also the tremendous heat blasting through the atmosphere. One man about 40 miles away from the Tunguska crater said:
The split in the sky grew larger, and the entire northern side was covered with fire. At that moment I became so hot that I couldn’t bear it as if my shirt was on fire; from the northern side, where the fire was, came strong heat. I wanted to tear off my shirt and throw it down, but then the sky shut closed, and a strong thump sounded, and I was thrown a few metres. I lost my senses for a moment, but then my wife ran out and led me to the house. After that such noise came, as if rocks were falling or cannons were firing, the Earth shook, and when I was on the ground, I pressed my head down, fearing rocks would smash it. When the sky opened up, hot wind raced between the houses, like from cannons, which left traces in the ground like pathways, and it damaged some crops.
How Big Did You Say?
The earth is, of course, constantly battered by rocks from space. Most are small, some big enough to cause delight when they spark through the atmosphere. Some are nasty. The implication is that since we had them before, are having them now, there is every reason to suppose we’ll have them in the future.
NASA’s CNEOS tracks known rocks. It sounds silly to say so, but it’s well to remind ourselves that no one tracks the unknown ones. Now CNEOS has a model which uses astronomical data on the path of rocks, the most important of which is mass, which is only estimated (i.e. modeled). According to the fun 2002 paper “Quantifying the Risk Posed by Potential Earth Impacts” by Chesley and others in Icarus (which NASA cites):
In the absence of an accurate mass determination, the mass must be inferred from the size, shape, and density of an object, but for all potential impactors discovered to date, none of this information has been directly available, and this trend is likely to continue because the vast majority of potential impacts are associated with poorly observed objects. Typically, the only information available is the absolute magnitude H of the object, which relates its intrinsic brightness. In such circumstances, we are forced to assume a homogeneous spherical object with density ?, diameter D, and mass given by [a formula is named]…
However, the computed value of H can easily be wrong by a half magnitude or more since several simplifying assumptions are made about the object’s phase relation…
There is thus uncertainty, and so models are needed. Chesley gives details about models in this genre, and CNEOS has their own implementation. As new data becomes available, the modeled results change, and gives updated probabilities for impact.
A great deal of Chesley is given over to developing a scale, the Palermo scale, which they carefully explain is meant not for the public but for use of professional astronomers for ease of their communication. The index is the expected energy of impact, in the statistical sense; i.e., Mt times probability. CNEOS calculates this Palermo scale for each rock, and another older one called the Torino scale. Long-time readers will recall the difficulties with “expected” values, which are often not expected in the plain English sense. So we’ll eschew that scale and use the probabilities and estimated Mts directly.
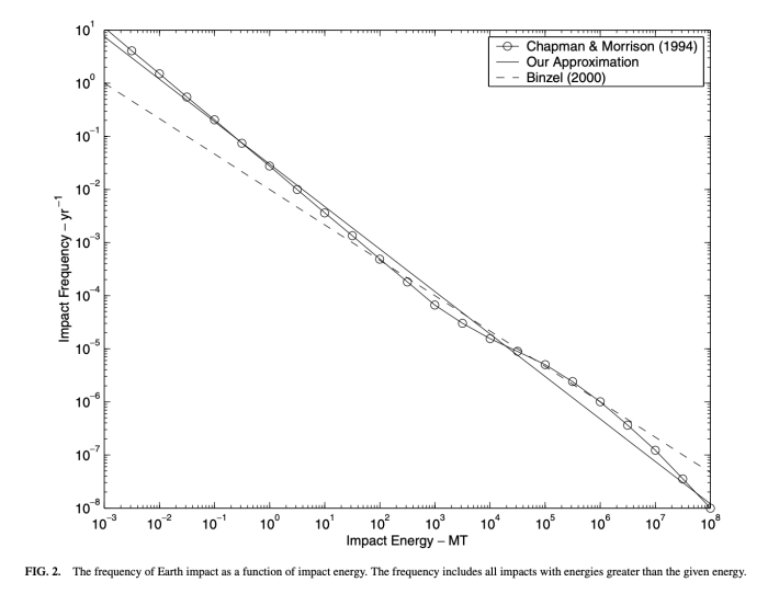
Here is what I think is the best part of the Chesley paper, a picture based on observational history of impact frequency (in years) by impact energy in Mt.
A remarkable linear function. (On a log-log scale.) If it seems to start small, don’t forget 10^-3 Mt is still 1,000 tons of TNT, i.e. a kiloton. I’m never a fan of putting probabilities in terms of yearly frequencies (you’ve heard of “100 year floods”), because it’s easy to confuse their meaning. Here, a yearly frequency of 10^1 is, of course, 10 per year, on average. Most of these burn up in the atmosphere, but a few find their way to the ground.
Impacts with 100 million Mts don’t arrive as often. But they do arrive. The Chicxulub crater was caused 65 million years ago by a rock delivering an estimated 100 teratons of TNT. A teraton is a trillion (10^12) tons. So the dinosaur killer was 10^14 tons of TNT. (And a ton is 2,000 pounds.) A 100 million is 10^8, so a 100 million Mt is 10^14 tons of TNT. If one of these hit, it would be a bad day. According to the chart, and using that artificial language, a “100 million year asteroid” is due soon, in geological times. See below for more on this.
CNEOS Data
The data is all available—and, I’m happy to report, easy to get with their API. An actual working government program. (I downloaded it all on late on 7 February 2025.)
For fun, here is a histogram of estimated diameter of tracked rocks, in kilometers (note the log scale; the estimated Mts histogram is similar).
The rock that might hit in 2032 has an estimated diameter of 0.053 km, which in civilized units is 177 feet. Again, it would bring about 7.7 Mts of energy. Big!
The biggest (named “1950 DA”) at the far right is 1.3 km in diameter or 4,265 feet, and might hit Anno Domini 2880, with “cumulative” probability of 0.00039. This would bring 75,180 Mts, or 75 billion tons. Ouch.
The smallest is just over 3 feet in diameter, the size of an average journalist, and might hit in 2042 with “cumulative” probability 0.00088. It’s energy would be 7.3 x 10^-5 Mt, or a mere 73 tons of TNT.
I’ll explain the “cumulative” bit below. First, here is a a picture of the tracked objects, and the years in which they might first hit (orbits may bring some objects back for second, third, and more tries), for the next century:
My guess is the shape is explained by those objects which are closest in time are best known, and so the probabilities best estimated, and most don’t hit. The objects farthest out in time are harder to estimate, because less is known about them. The ones midrange fall between these uncertainties. In other words, the inverted-U shape is a modeling and observational artifact.
Every object may hit more than once, and some might hit more than once per year, given the particularities of their orbits. So here is a plot of every impact probability (ip; not on the “cumulative” but ordinary scale) for every object tracked, over the next century (note the log scale):
The spread in uncertainties as time increases is expected. The 0.024 at 2032 is the rock that made the news. The maximum is just over 10% chance of a 0.009 Mt blast on 5 September 2095. That’s still 9 kilotons. I believe that would be visible to those under it. Notice that these probabilities average around 1 in a million.
Cumulative Probabilities
CNEOS reports tracked objects using “cumulative probability”, which is the simple sum of probabilities of each impact over the range of potential impacts. This is a reasonable approximation to the actual probabilities, but it is strictly wrong, though the error in calculation does not become important until probabilities become sizable, as in our calculations below.
The idea is simple. We want, for any object, the probability it hits the first time or the second time or the third time or etc. The formula for this is known and uses the inclusion-exclusion principle. When the probabilities are small, we can get away with the cumulative approximation. When probabilities are large, we can’t.
For instance, what is the probability of a head on a flip of one coin or on the second coin or on the third? Cumulative probability adds these: 1/2 + 1/2 + 1/2 = 1.5. Which is too big. Technically, we have to subtract the chances of coin 1 and coin 2 and coin 2 and coin 3, then add back the chance of all three being heads. Altogether, the chance of H1 or H2 or H3 is
The formula for any number of events, which can all be different probabilities (they don’t have to be the same event or same probabilities), is complex, but well known, and easy enough to calculate, as long as the number of events isn’t too large, because when they are the calculations blow up due to combinatorial explosion.
NASA’s probabilities are on the order of 1 in a million, or 10^-6. A simple cumulative sum approximation of, say, 10 such events gives 10^-5, still a small number. If we use inclusion-exclusion, the paired terms we have to subtract are of size 10^-6 times 10^-6 = 10^-12, which is a trivial number. The three-groupings (also needed in inclusion-exclusion) are of order 10^-18, and so on. The simple cumulative sum approximation 10^-5 is close to the exact inclusion-exclusion sum of 9.999955 x 10^-6.
If events have probabilities around 0.02 for six equal change events (the number of times 2024 YR4 menaces us), then the simple cumulative sum gives 0.12, but the exact I-E result is 0.114. Whether that is a large or small error depends on the uses to which the probability is put.
Below, I use a blend of cumulative sum and I-E. If the probabilities are less than 0.0001, I sum, and these summed events become one new event (which might then become part of an I-E); if individual events are larger than the cutoff, I use I-E. Overall, it doesn’t make that much difference, but it pays to be careful.
PROBABILITIES
Here, using all tracked impacts (n = 41,848), is the probability of object 1 or object 2 or object 3 or etc. hits this year, then next year, and every year for the next century (note the log scale; see technical notes above for details on the calculation; if an object can hit more than once in a year, it appears multiple times in the yearly calculation):
The probabilities, though small, are not terribly small, especially for 2032, seven short years from now. It will be interesting to watch this probability change as the NASA model changes. Especially if you live along its potential path.
The mean probability is 0.002 per year for a blast of any tracked size. An impact would thus be, in the old lingo, a “500 year event” (of average impact energy). This average is 1000 times larger than the average of individual impacts, which recall were around 10^-6 (1 in a million), so it pays to examine the chance of any impact because all those individual chances “add up”.
Next is the probability of any object hitting in 2025 or 2026 or 2027 and so on by year for every year out a century. The graph is naturally cumulative, and is from our 2025 perspective (note the log scale).
The red line is a probability of 1/2. The end of the series is a probability of 0.28, but a good chunk of this is because of the 2032 rock. In any case, the lesson is that eventually we will get hit by an object of track-worth size (0.001 km or larger in diameter), and there is a 28% chance in the next 100 years. This represents impacts of any size.
Small impacts aren’t as intrinsically as interesting, however. So all can be repeated for impacts of certain sizes. For instance, 1 Mt or greater, here is the year-by-year probability:
The mean probability is 0.0018 per year of a 1 Mt blast. Or a “555 year event”. I don’t think this is especially small.
Conclusion
All calculations use the NASA CNEOS data, and their modeled probabilities. All probabilities are conditional on the data and assumptions used, so for particulars we have to look at the details of their model and observations. The good news, you’ll be delighted to learn, is the predictive numbers from NASA accord well with the Chesley historical observation data. Which gives a hint the NASA model is calibrated, or nearly so. Which, in turn, means it may be relied upon to make decent predictions.
The European Space Agency tracked past impactors going back to 2008 ending last year, but list only 11 such directly measured events. All but two were well under 1 kiloton, i.e. 0.001 Mt; one was just over 1 kiloton, and one was 4.46 kilotons, or 0.004 Mt. The frequency of these events is in line with the results above.
Older events rely on indirect measures, such as crater size. The Planetary and Space Science Centre in Canada (which supplied today’s featured image) has a database of larger historical events in its Earth Impact Database. There is only one listed bigger than Chicxulub, which had an estimated 150 km diameter, and that is Vredefort, South Africa which was pegged at 160 km. That hit about 2 billion years ago. Of course, many impacts in the ocean are not cataloged.
Are there any details I missed that you’d like to see? Let me know, and if they are possible, I’ll add as updates to the bottom of this post.
Update
User request. Plot of year by energy of impact in Mt.
Subscribe or donate to support this site and its wholly independent host using credit card click here. Or use the paid subscription at Substack. Cash App: $WilliamMBriggs. For Zelle, use my email: matt@wmbriggs.com, and please include yours so I know who to thank. BUY ME A COFFEE.











https://www.youtube.com/watch?v=napioo8AZN0
How do these rocks fly in on a flat earth scenario? How can these "lights" cause such damage to the Earth's crust when they hit?
What is the probability that Flat Earthers have lost their minds?